- - 溫濕度模塊/探頭(21)
- - 溫濕度數字輸出模塊(6)
- - 濕敏電容傳感器(3)
- - 濕敏電阻傳感器(3)
- - 溫度傳感器(4)
- - 溫濕度變送器/儀表(10)
- - 結露傳感器(2)
- - 紅外溫度傳感器(3)
- - 光纖折射率傳感器(1)
- - 光纖信號調理器(5)
- - 光纖溫度傳感器(3)
- - 光纖壓力傳感器(9)
- - 光纖應變傳感器(3)
- - 光纖位移傳感器(1)
- - 無放大輸出壓力傳感器(2)
- - 放大輸出壓力傳感器(2)
- - 微壓傳感器(1)
- - 不銹鋼壓力傳感器(1)
- - 數字輸出的壓力傳感器(3)
- - 稱重傳感器(3)
- - 陶瓷壓力傳感器(2)
- - 硅蝕刻技術全系列壓力傳感器(9)
- - PC板安裝壓力傳感器(9)
- - 壓力變送器(5)
- - 紅外發射二極管(5)
- - 光電晶體(接收管)(4)
- - 光電斯密特接收管(2)
- - 紅外檢測儀(1)
- - 編碼器傳感器(1)
- - 反射式光電套件(2)
- - 槽型紅外光電傳感器(2)
- - 條形碼傳感器(1)
- - 血氧分析傳感器(2)
行業資訊
20多種液位測量方法分析
2010-12-13 17:55:10
物位包括料位和液位兩類。液位又包括連續液位和液位信號器測量兩種。液位信號器是對幾個固定位置的液位進行測量,用于液位的上、下限報警等。連續液位測量是對液位連續地進行測量,它廣泛地應用于化工、食品加工、石油等諸多領域,具有非常重要的意義。文中對20多種連續液位測量方法進行比較分析。
1 雙色水位法、人工檢尺法、玻璃管法、玻璃板法
玻璃管法:該方法利用連通器原理工作,如圖1—1所示[1]。圖中1-被測容器;2-玻璃管;3-指示標度尺;4、5-閥;6、7-連通管。液位直接從指示標度尺讀出。

雙色水位計法:該方法利用光學原理,使水顯示綠色,而使水蒸汽顯示紅色,從而指示出水位[2]。
玻璃板法:玻璃板可通過連通器安裝,也可在容器壁上開孔安裝,并可串聯幾段玻璃板以增大量程。液位數值直接從玻璃板刻度尺讀出。
人工檢尺法:該方法用于測量油罐液位。測量時,測量員把量油尺投入油品中,并在尺砣與罐底接觸時提起量油尺。根據量油尺上的油品痕跡,讀出油面高度;根據量油尺末端試水膏顏色的變化確定水墊層的高度,從而確定油高和水高[3]。
以上4種方法都是人工測量方法,具有可靠性高、直觀、測量簡單、成本低的優點。
2 吹氣法、HTG法、差壓法、
吹氣法:該方法的工作原理如圖2—1所示[4]。圖中,1-過濾器;2-減壓閥;3-節流元件;4-轉子流量計;5-變送器。因吹氣管內壓力近似等于液柱的靜壓力,故 P=ρgH

式中,ρ-液體密度;H-液位。故由靜壓力P即可測量液位H。吹氣法適用于測量腐蝕性強、有懸濁物的液體,主要應用在測量精度要求不高的場合。
差壓法:該方法的工作原理如圖2-2所示[4]。圖中,1、2-閥門;3-差壓變送器。對于開口容器或常壓容器,閥門1及氣相引壓管道可以省掉。壓力差與液位的關系為 ΔP=P2-P1=ρgH

式中:ΔP-變送器正、負壓室壓力差;P2、P1-引壓管壓力;H-液位。差壓變送器將壓力差變換為4~20 mA的直流信號。如果壓力處于測量范圍下 限時對應的輸出信號大于或小于4 mA,則都需要采用調整遷移彈簧等零點遷移技術,使之等于4 mA。

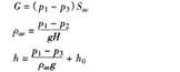
HTG法:該方法應用于油罐差壓液位測量中,如圖2—3所示。圖中:P1、P2、P3-高精度壓力傳感器;RTD-溫度檢測元件;HIU-接口單元。P1位于罐底附近 的罐殼處,P2比P1高8英尺,P3位于罐頂附近的罐殼處。對于常壓油罐,壓力傳感器P3可以省去。設壓力傳感器P1、P2、P3測得的壓力分別為p1、p2、p3,則
式中:G-油品重量;Sav-油罐平均截面積;ρav-介于壓力傳感器P1、P2之間油品平均密度;g是重力加速度;H是壓力傳感器P1、P2之間的距離;h是油品高度;h0是壓力傳感器P1的高度。RTD用于測量油品溫度,以對測量數值進行溫度補償。HTG測量系統價格較低,但液位測量精度較低,安裝須在罐壁開孔。
以上3種方法都是利用液體的壓力差來測量液位的。
3 浮子法、浮筒法、浮球法、伺服法、沉筒法
浮子法:該方法采用浮子作為液位測量元件,并驅動編碼盤或編碼帶等顯示裝置,或連接電子變送器以便遠距離傳輸測量信號。

浮筒法:該方法采用中間帶孔的磁浮筒作為液位敏感元件,如圖3—1所示。不銹鋼套管從浮筒中間孔穿過,固定在罐頂和罐底之間。液位變化帶動空心磁浮筒(內藏永久磁鐵)沿套管上下移動,并吸引套管內的磁鐵沿套管內壁上下移動,二次儀表根據磁鐵的移動量計算出液位。
浮球法:該方法利用杠桿原理工作,如圖3—2所示[4]。圖中:1-浮球;2-連桿;3-轉軸;4-平衡重;5-杠桿。浮球跟隨液位變化而繞轉軸旋轉,帶動轉軸上的指針轉動,并與杠桿另一端的平衡重平衡,同時在刻度盤上指示出液位數值。浮球法有內浮球式和外浮球式兩種,如圖3—2所示。浮球法主要用于測量溫度高、粘度大的液位,但量程較小。

伺服法:該方法采用波動積分電路,消除抖動、延長壽命、提高液位測量精度。現代伺服液位儀的測量精度較高,已達到40 m量程內小于1 mm的精度,且一般都具有測量密度分布和平均密度的功能。

沉筒法:沉筒的位置隨著液位的變化而變化,但其變化量并不與液位變化量相等。在圖3-3a中[4],液位與浮筒位置的關系如下:![]()
上式中:ΔH-液位變化量;C-彈簧的彈性系數;A-沉筒截面積;ρ液體密度;ΔX-沉筒位置變化量。通常情況下,浮筒位置變化量ΔX遠小于液位變化量ΔH。圖3—3b是扭力管式沉筒法原理[4],圖中:1-沉筒;2-杠桿;3-扭力管;4-芯軸;5-外殼。沉筒位置隨液位變化而變化,在杠桿的作用下,扭力管芯軸的扭角發生變化,二次儀表根據扭角的變化量計算出液位。
以上5種方法都是利用浮力原理來工作的。
4 電容法、電阻法、電感法
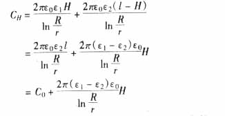
電容法:用于測量非導電液體的電容法原理如圖4—1所示[4]。圖4—1中,電容由兩塊同心的圓柱面極板組成,其電容量CH為
上式中:ε1-被測液體的相對介電常數;ε2-氣相介質的相對介電常數;H-電容傳感器浸入液體的深度(m);l-電容傳感器垂直高度(m);R-內極板圓柱底面半徑(m);r-外極板圓柱底面半徑(m)。由于R、r、l等都是固定值,只要利用ε1、ε2、CH就能計算出液位H。圖4—2是用于測量導電液體的電容法原理[4],其公式推導略。電容式液位儀價格較低,安裝容易,且可以應用于高溫、高壓的場合。但電容液位儀測量重復精度較低,需定期維修和重新標定,工作壽命也不是很長。

電阻法:該方法[5]特別適用于導電液體的測量,敏感器件具有電阻特性,其電阻值隨液位的變化而變化,故將電阻變化值傳送給二次電路即得到液位。探針式利用跟蹤測量法來測量液位,以液位上升的情形為例來說明液位測量原理,當液位上升時,提起探針完全脫離液體,然后緩慢降低探針尋找液面,則探針與液體剛接觸時的位置即與液位相對應。探針式的特點是測量精度很高、控制電路復雜。
電感法:該方法[5]適用于導電液體的液位測量,特別是液態金屬。電感法的原理是,液位變化使得電感元件的自感、互感或導磁率發生變化,故將該變化量送往二次電路即可得到相應的液位數值。電感法應用廣泛的是高頻液位計。該液位計的測量原理是,頻率調制信號通過射頻電纜耦合到傳輸線傳感器諧振回路,諧振回路的輸出電壓經過檢波電路和射頻電纜傳送給低通濾波器,然后根據低通濾波器的輸出電壓控制調諧電路,產生新的振蕩頻率,直到傳感器諧振電路處于完全諧振狀態為止,則此時的振蕩頻率即與傳感器的電感量相對應,從而與液位相對應。
以上3種方法都是利用液位傳感器的電參數產生變化的方法來測量液位的。
5 磁致伸縮法、超聲波法、調制型光學法、微波法
磁致伸縮法:該方法用于測量油罐液位的原理如圖5—1所示[6]。圖5—1中有兩個浮子,分別用來檢測油氣界面和油水界面。各浮子內都藏有一組永久磁鐵,用來產生固定磁場。測量時,液位計頭部發出低電流“詢問”脈沖,該電流產生的磁場沿波導管向下傳導。當電流磁場與浮子磁場相遇時,產生“返回”脈沖(也稱“波導扭曲”脈沖)。詢問脈沖與返回脈沖之間的時間差即對應油水界面和油氣界面的高度。磁致伸縮液位計安裝容易,測量精度很高,但液體密度變化和溫度變化會帶來測量誤差[7],浮子沿著波導管外的護導管上下移動,容易被卡死。

超聲波法:換能器將電功率脈沖轉換為超聲波,射向液面,經液面反射后再由換能器將該超聲波轉換為電信號。超聲波是機械波,傳播衰減小,界面反射信號強,且發射和接收電路簡單,因而應用較為廣泛;但超聲波的傳播速度受介質的密度、濃度、溫度、壓力等因素影響,其測量精度較低。
微波法:微波通過天線(大多為口徑天線,也有平面天線)輻射出去,經液面反射后被天線接收,然后由二次電路計算發射信號與接收信號的時間差得液位。連續波雷達液位儀原理如圖5—2所示,該液位儀采用三角波頻率調制形式,并通過對發射信號與接收信號混頻后得到的差額信號的分析,得到微波傳輸時間,從而計算出液位。微波速度受傳播介質、溫度、壓力、液體介電常數的影響很小,但液體界面的波動、液體表面的泡沫、液體介質的介電常數對微波反射信號強弱有很大影響。當壓力超過規定數值時,壓力對液位測量精度將產生顯著影響。對于介電常數小于規定數值的液體,大部分雷達液位儀都需要采用波導管,但波導管的銹蝕、彎曲和傾斜都會影響測量精度。例如:當空高h為20 m,導波管與垂直方向傾斜角度α只要超過0.573°,則引起的液位誤差Δh將超過1 mm,由此證明,在傾斜角度α(單位為度)較小時,Δh滿足:![]()

雷達液位儀特別適合于高污染度或高粘度的產品,如瀝青等。雷達液位儀測量的重復精度較高,無須定期維修和重新標定,測量精度也較高,但價格較高,測量油水界面困難。
調制型光學法與微波法類似,只是采用相位或頻率調制的光信號代替微波信號。圖5—3是一種激光雷達液位儀原理圖[8]。但光信號受水蒸汽、油蒸汽影響較大,并對液面波動很敏感,且必須采用易受污染的光學鏡頭。

以上3種方法都是通過檢測信號傳播的時間來確定液位的。設發射信號與接收信號的時間差為t,則空高h=vt/2,v為波的傳播速度。
6 磁翻板法、振動法、核輻射法、光纖傳感器法
磁翻板法原理如圖6—1a所示[1],1-翻板指示組件;2-浮子;3-連通管組件;4-調整螺釘;5-放泄塞。浮子裝有一組永久磁鐵,隨液位變化而上下移動,通過磁耦合作用帶動磁翻板組件翻轉。當液位上升時,磁翻板的紅色面朝外;液位下降時,白色面朝外。故根據磁翻板的顏色即可確定液位。浮子內磁鐵與磁翻板磁性結構如圖6—1b所示[5],每片翻板間的距離為10 mm。采用幾臺磁翻板裝置串聯可增大量程。


振動法的原理如圖6—2所示[9]。振動液位儀由導軌、測試架、激錘、振動傳感器、伺服機構等組成。伺服機構控制振錘上下爬動并激振,激振后的自由振動被振動傳感器檢測,該檢測信號經FET變換后得到max功率處的頻率,最后由空罐時固有頻率/液位關系得到液位。這種液位測量方法需要激錘、伺服機構等機械運動部件,其工作壽命不是很長,須定期維修和重新標定,安裝也較復雜。
輻射法:放射性同位素在衰變過程中會輻射射線,常見的射線有α、β、γ射線。其中,γ射線的穿透力強,射程遠,故在核輻射液位測量中廣泛采用。實驗證明,穿過物質前后γ射線強度會發生變化,并滿足以下關系[5]:![]()
上式中:J0-穿過物質前的強度;J-穿透物質后的強度;μ-物質對γ射線的衰減特性;d-物質的厚度。核輻射式液位儀由放射源、探測器及處理電路組成。放射源大都采用鈷-60或銫-137。探測器有電離室、記數管、閃爍計數器等幾種,其作用是探測射線穿透物質后的強度。核輻射液位儀采用非接觸式安裝,如圖6—3所示。圖6—3a采用點式放射源、探測器,測量范圍較小;圖6—3b采用點式放射源、線狀探測器,測量范圍較大;圖6—3c采用線狀放射源、探測器,測量范圍zui大。除γ射線外,中子射線也可用來測量液位。中子射線的穿透能力極強,比γ射線強10倍以上,可穿透壁厚達9英寸的鋼質容器[10]。射線液位儀安裝方便,測量精度能滿足大罐測量的需要,有一定的應用場合。

光纖傳感法:文獻[11]提出了一種光纖液位傳感器,當液位變化時,壓力傳感器的敏感彈性膜片產生位移,帶動反光膜移動,使探頭感受的光強發生變化,從而計算出液位。文獻[12]提出了又一種光纖液位傳感器,根據探頭在氣相和液相介質中感受到光強的差異,判斷探頭的位置,并控制探頭跟蹤液位的變化,從而得到液位數值。
7 結束語
該文對20多種液位測量方法進行了分析比較。在實際應用中,應根據價格、測量精度、被測介質的特點等因素,合理選擇液位儀的種類。